慢病毒和腺病毒载体生产的标杆 – scale-X生物反应器系统
我们之前在Pall iCELLis®固定床生物反应器中,以小规模和商品化规模,进行了病毒载体(慢病毒、腺病毒以及腺相关病毒)的生产。最近,一家名为Univercells的比利时公司推出了一种新型固定床生物反应器,其具有相同的细胞生长表面基质材料,但固定床结构与iCELLis生物反应器所使用的结构不同。我们尝试对这种新型scale-X hydro生物反应器(2.4m2)和iCELLis Nano系统(2.67m2)进行一对一比较,以了解这种差别对细胞生长及慢病毒载体或腺病毒载体产量的影响。实验运行使用在iCELLisNano生物反应器中针对病毒载体生产而优化的参数进行。细胞生长通过细胞核计数以及跟踪葡萄糖消耗和乳酸产生来监测。在两种生物反应器系统中,细胞生长良好,且发现scale-X生物反应器中细胞分布相当均匀。结果证实,在慢病毒载体和腺病毒载体生产中,Univercells的scale-X生物反应器至少可获得同等效率,甚至更优化。基于这些结果,用于iCELLis生物反应器中病毒载体生产的相同程序和参数也可成功用于scale-X生物反应器系统中的生产。
简介
用于基因治疗的病毒载体仍主要以贴壁细胞生产。标准的小规模生产依赖于不同的培养瓶方法,而规模放大选择有,例如Cell Factories(细胞工厂,ThermoFisher Scientific)或Hyperstacks(Corning)。但是,这些方法需要大量的人工操作,可能需要开放式连接,且不能监测或控制pH、溶氧等。所以,需要用于贴壁细胞的大规模、可抛弃型生物反应器。ATMI/Pall在十多年前推出了iCELLis固定床生物反应器。iCELLis Nano生物反应器的三维固定床由数百根13.9 cm2的小尺寸聚对苯二甲酸乙二醇酯(PET)纤维(“载体”)组成,其装填在生物反应器内。iCELLis生物反应器提供高(144g/L)和低(96g/L)两种压缩结构。iCELLis Nano生物反应器的培养面积可达4.2m2,对于小规模批次来说,是非常有用的工具,但其主要用于工艺开发和优化。iCELLis 500是商品化规模系统,根据固定床高度和载体压缩程度,其培养面积范围为66 – 500m2。我们是最早将iCELLis技术用于基于HEK293(T)贴壁系统,以进行腺病毒、慢病毒和腺相关病毒(AAV)载体生产工艺的团队之一。工艺开发在iCELLis Nano生物反应器上进行,然后工艺规模放大至iCELLis 500规模,目前,我们已在iCELLis 500中生产了用于临床试验的病毒载体物料。我们每个批次可生产>1x10^16腺病毒颗粒。其它团队也发现iCELLis生物反应器可有效用于逆转录病毒、AAV、狂犬、甲肝以及基孔肯雅疫苗的生产,或以昆虫细胞生产重组蛋白。iCELLis 500生物反应器是一种符合GMP要求、完全可抛弃且可控的系统,并具有灌流能力。系统支持贴壁细胞生长和高滴度生产。
基于对iCELLis系统的专业知识,我们自然对Univercells新近推出的贴壁生物反应器深感兴趣。Univercells的scale-X生物反应器系统是一种自动化及一次性使用固定床生物反应器,其培养面积范围为2.4m2(商品名为hydro)至600m2(nitro)及以上。Univercells附有10-30m2“中型尺寸”scale-X carbo生物反应器系统。到2020年,所有的scale-X生物反应器可用于GMP生产。系统适合,例如,体外使用,特别是当产量要求低于直接将病毒载体注入患者体内所需要求时。系统的固定床材料与iCELLis固定床相同,但是结构不同。iCELLis固定床使用微载体相对随机的填充,而在scale-X生物反应器中,固定床是5cm2宽度的刚性聚丙烯筛网条带和非编织亲水性聚对苯二甲酸乙二醇酯(PET)织物交替螺旋管式组成的双层的均一结构,层间由间隔网隔开。这种结构可在整个固定床中实现更好、更均匀的细胞分布。除了病毒载体生产外,scale-X生物反应器系统也可实现连续的在线浓度,因为系统可选择内置中空纤维切向流过滤模块。通过将scale-X生物反应器与NevoLine微型工厂结合,使用用于生物反应器和在线下游处理的链式封闭柜体,可降低GMP设施要求。我们测试将这种新型scale-X hydro生物反应器系统用于慢病毒和腺病毒载体生产,以确定不同的膜基质装置是否会影响细胞生长或病毒载体产量,并将系统与iCELLis生物反应器进行了比较。两种生物反应器系统使用此前在iCELLis生物反应器上优化的相同参数。结果发现,在两种生物反应器中,细胞生长相似。Scale-X hydro生物反应器中的产量至少与iCELLis Nano系统中的产量相当。
材料和方法
细胞系和培养基
293T(ATCC,Manassas,VA)和HEK293(ATCC)细胞培养在添加了10%(v/v)胎牛血清(FBS,Gibco)以及50-100 U/mL青霉素、50-100μg/mL链霉素(Gibco)和4mML-谷氨酰胺(Gibco)的高-或低-葡萄糖DMEM培养基(Gibco,Paisley,United Kingdom/Sigma-Aldrich,Irvine,United Kingdom)中进行,用于慢病毒载体和腺病毒载体生产。此外,在慢病毒载体生产中,转染后(PT)培养基补充1x非基本氨基酸(Gibco)、1mM 丙酮酸钠(Gibco)以及1:500 CD-脂质添加物(Gibco)。FBS包含在生物反应器接种前、细胞扩增时的起始培养基中以及直到转染后24h的生物反应器运行中,之后的运行不添加FBS。接种密度7,000 – 9,000 cells/cm2。接种前,所有细胞培养在+37℃、5%CO2湿化环境的T型瓶中。
用于慢病毒载体感染性滴度分析的HeLa细胞(ATCC)培养在DMEM-10%FBS(Gibco)-50U/mL青霉素和50μg/mL链霉素(Gibco)中。转导时不含FBS。
iCELLis Nano和scale-Xhydro生物反应器中的慢病毒载体生产
总共进行4个scale-X生物反应器运行。在3个运行中,生产慢病毒载体,另1个运行中,在转染前,按Univercells提供的指导,对生物反应器进行拆解,以分析固定床不同区域的细胞密度。一个iCELLis Nano生物反应器作为对照,平行运行。
iCELLis Nano中的慢病毒载体生产使用2.67m2低压缩固定床生物反应器(Pall Life Sciences,Hoegaarden,Belgium)。在scale-X生物反应器运行中,使用Univercells(Gosselies,Belgium)的2.4m2 scale-X hydro生物反应器。运行按此前描述进行,使用灌流维持目标0.5g/L葡萄糖。葡萄糖和乳酸每天检测1次或2次(Cedex-Bio,Roche,Mannheim,Germany)。接种后的1h,生物反应器培养基取样,对非贴壁的细胞进行计数。按此前报导,在第1-4天,对iCELLis Nano生物反应器中贴附到载体的细胞进行细胞核计数。在scale-X hydro生物反应器中,膜层间有采样条(与iCELLis Nano生物反应器中的载体尺寸大致相同),可与iCELLis Nano系统相似地进行取样和细胞核计数。对于每个细胞核计数,使用无菌镊子取两根采样条。此外,1个scale-X生物反应器固定床拆解,对固定床顶部(距离顶部边缘1cm)、中部和底物(距离底部边缘1cm)、两个膜层以及固定床的外、中和内表面进行细胞核计数(图1)。对于细胞核计数,从膜上裁1cm2小片。
在所有运行中,以1:1的DNA:PEIpro比例和200 ng/cm2质粒(PlasmidFactory Bielefeld,Germany),使用PEIpro(Polyplus-transfection,Illkirch,France)–介导转染,生产三代LV-GFP。转染按此前描述进行。
开始收获前,进行完整的培养基置换,转染后24– 72h,在室温条件下,通过收集灌流培养基,收获病毒载体。运行结束时,生物反应器排放至相应的收集袋中。
iCELLis Nano和scale-Xhydro生物反应器中的腺病毒载体生产
总共进行了两个生物反应器运行,一个使用scale-X生物反应器,一个使用iCELLis Nano系统,以比较腺病毒载体生产的差异。除与慢病毒运行一样,通过灌流控制目标0.5g/L葡萄糖外,运行按此前描述进行。细胞接种密度为7,000 cells/cm2,。与慢病毒运行相似地,葡萄糖和乳酸每天检测2次(Cedex-Bio),第1-4天进行细胞核计数。感染按之前描述进行,两个生物反应器使用相同的腺病毒载体(Ad-GFP)数量(平均感染复数值为75)。感染后68h,使用基于去垢剂的裂解方法进行细胞裂解。收获物料使用0.027 m2深层滤器(Millipore,Billerica,MA)澄清。

图1. 拆解的Univercells scale-X hydro生物反应器的细胞技术。从顶部(a)和侧面(b)观察的scale-X 生物反应器示意图。淡灰和深灰点指示用于细胞密度分析的取样点。淡灰=内侧膜的取样,深灰=外侧膜层的取样。对于细胞密度分析,对固定床顶部、中部和底物、卷膜的外表面、中部以及内表面进行细胞核计数。示意图下方表格中所示为细胞密度(cells/cm2)。
分析
慢病毒载体的感染性滴度(转导单位[TU]/mL)使用基于定量聚合酶链式反应(qPCR)的方法确定。慢病毒载体颗粒(vp)滴度通过将p24酶联免疫吸附分析(ELISA;PerkinElmer,Waltham,MA)的pg/mL结果转换为vp/mL来分析,假定p24的1pg为12,500慢病毒颗粒。腺病毒载体颗粒滴度使用高效液相色谱(HPLC)分析。
结果和讨论
ATMI/Pall大约在10年前推出了第一款全整合式、可抛弃型固定床生物反应器iCELLis。此外,市面上也有一些其它公司开发的贴壁生物反应器,如Celligen(NewBrunswick Scientific)、CellCube(Costar)、装填床生物反应器(BioBLU,Eppendorf)以及基于微载体的生物反应器。在最近的创新产品中,还包括Univercells生产的scale-X生物反应器,该公司由JoseCastillo联合创立,他也是iCELLis系统的发明者之一。我们的团队对于使用iCELLis生物反应器进行病毒载体生产具有丰富的经验。由于iCELLis和scale-X生物反应器中,用于细胞贴附的膜采用相同的材质,我们假设在iCELLis生物反应器中优化和使用的参数可相当简单地转移到scale-X生物反应器。为测试这种假设,我们比较了scale-X生物反应器和iCELLis Nano系统中的细胞生长、细胞分布、培养基消耗以及慢病毒和腺病毒载体生产。
细胞分布
我们之前比较了iCELLis Nano生物反应器高压缩固定床(4m2)和低压缩固定床(2.67m2)中的细胞分布,发现在低压缩中,细胞分布更加均衡。在高压缩固定床中,细胞分布有较大的差异,取决于计数的细胞来自哪一层(相比顶部,底部的细胞量要高3到4倍)。尽管在低压缩固定床中,差异性较小,我们还是注意到,相比底部,低压缩床中部的细胞量要高2到3倍。对拆卸的scale-X生物反应器进行了细胞密度分析,以了解固定床不同部分中的细胞分布(图1)。结果发现,在整个固定床中,细胞分布相比均衡(图1)。但是,当垂直或水平分析时,固定床中部的细胞密度要高约2倍,这与低压缩iCELLis生物反应器中的结果较为接近。当对双层膜的外膜和内膜进行细胞密度分析时,发现差异很小。这可能是由于scale-X生物反应器固定床的卷式膜样结构形成了批次间细胞密度以及细胞生长更低的变异性。相比scale-X生物反应器,iCELLis生物反应器中,特别是在高压缩固定床中,细胞密度更高的变异性,可能是由于载体相对随机且紧实的填充。所以,在iCELLis生物反应器中,由于存在一些低致密和高致密区域,每个反应器之间总是有差异。
此外,在拆解前,对拆解的生物反应器的采样条进行取样,计算密度为~1.1x10^5cells/cm2,接近膜顶-中部的密度(1.2x10^5±0.4x10^4)。所以,可见scale-X生物反应器中的采样条具有代表性,可用于评估细胞密度。
细胞生长
对于iCELLis Nano系统,我们优化了接种使用的细胞密度,所以,在第0天,对照的Nano系统以7,000 293T cells/cm2的密度接种。对于scale-X生物反应器,使用两种不同接种密度,7,000 cells/cm2(scale-X生物反应器运行1-3)以及9,000 cells/cm2(scale-X生物反应器运行4)。在两种生物反应器中,细胞均可很快贴附至PET内层,因为接种后1h,生物反应器的培养基取样中,未发现游离细胞。感染时的目标细胞密度为150,000-200,000 cells/cm2,且通常,在iCELLis Nano运行中,该密度可在4天内达到。为监测细胞生长,iCELLis Nano和scale-X生物反应器可在层流罩内打开,使用无菌镊子从生物反应器夹取载体(Nano 生物反应器)或采样条(scale-X 生物反应器)。重要的是,在scale-X生物反应器系统更大尺寸的固定床中,也可以通过采样条取样,而iCELLis 500生物反应器中的载体不能取样。
计算在第1-4天(转染前)从生物反应器固定床顶部取样的载体/采样条的细胞核,并转换为细胞密度(图2a)。scale-X生物反应器运行3中达到目标细胞密度,scale-X生物反应器运行1和2接近达到目标细胞密度。scale-X 运行4中更高的接种细胞密度导致转染时的细胞密度过高。可能是由于整合固定床中不均匀的细胞分布,对照Nano运行也超过了目标细胞密度。
葡萄糖和培养基消耗
在所有运行中,使用灌流提供新鲜培养基。目标是通过使用高-葡萄糖DMEM作为灌流培养基,而维持生物反应器中0.5g/L的葡萄糖浓度。为调节灌流速率,每天从生物反应器培养基取样监测葡萄糖和乳酸浓度(图2b、c)。尽管在scale-X生物反应器运行1和2中,培养基和葡萄糖消耗低于标准iCELLis Nano运行,在运行3和4中,葡萄糖和培养基消耗在iCELLis Nano范围内(图3)。值得考虑的是,在运行4中,相比其它运行,接种使用了更高的cells/cm2值。当计算感染前数值时,相比对照或标准iCELLis Nano运行,所有scale-X运行中的细胞特异性葡萄糖消耗最多可降低4倍(图3i)。如果考虑到细胞密度在转染后不发生变化,则可以评估收获前的细胞特异性葡萄糖消耗(图3j)。相比标准iCELLis Nano运行,scale-X生物反应器运行中的细胞特异性葡萄糖消耗低达3倍。但是,这必须考虑到两种生物反应器类型中,整个固定床内不同的细胞密度,而且细胞特异性葡萄糖消耗仅根据采取的顶部载体进行计算。这反应了scale-X生物反应器中更低的培养基/葡萄糖消耗。特别是,如果在24hPT前,灌流速率降低,成本可进一步降低,因为需要的昂贵FBS的体积更小(在我们的方案中,从24h PT开始,FBS不用于灌流培养基)。此外,灌流中更低的培养基消耗可降低收获液体积,这有益于下游工艺处理。Scale-X生物反应器中更低的葡萄糖/培养基消耗的原因只能推测,但部分可能是由于scale-X中更加均匀的固定床结构。而且,在scale-X生物反应器中,循环的培养基可能可更加均等地达到细胞。
基于iCELLis Nano和scale-X中的总培养基消耗,如果直接放大至含有333m2固定床的iCELLis 500,灌流总共将使用大概~150L培养基,而含有600m2固定床的scale-X nitro中消耗的体积将为670 至940L。

图2. scale-X hydro生物反应器和iCELLis Nano生物反应器运行中的细胞密度以及葡萄糖和乳酸浓度。(a)第0-4天,计算的固定床顶部的细胞密度(cells/cm2);第0-7天,(b)葡萄糖和(c)乳酸浓度。对照Nano = Nano运行,运行与scale-X生物反应器运行一起进行。标准Nano = 5个标准Nano运行的平均值。Scale-X 1-4 = scale-X生物反应器运行1-4。


图3. scale-X hydro 生物反应器和iCELLis Nano生物反应器运行中,培养基和葡萄糖消耗的散点印迹图。(a、b)转染前的培养基消耗,以mL(a)和μL/cm2(b)为单位;(c、d)收获前运行中总培养基消耗,以mL(c)和μL/cm2(d)为单位;(e、f)转染前的葡萄糖消耗,以g(e)和mg/cm2(f)为单位;(g、h)收获前的总葡萄糖消耗,以g(g)和mg/cm2(h)为单位;(i、j)转染前(i)和收获前(j)的细胞特异性葡萄糖消耗,以pmol/cell/day为单位,考虑转染后,细胞密度不增加。标准Nano=5个用于慢病毒载体生产的iCELLis Nano运行,对照Nano=与scale-X生物反应器运行一同进行的运行。Scale-X 1-4=scale-X生物反应器运行1-4,其中,运行1未转染,而在第4天停止运行并拆解固定床。对于每个运行,标准Nano运行标识为独立的点;此外,显示SEM和中位数。SEM,标准平均误差。
在iCELLis Nano和scale-X生物反应器中的慢病毒载体产量
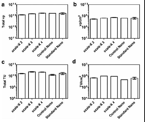
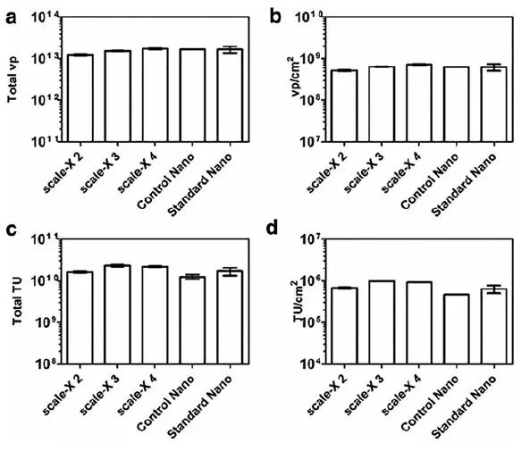
在scale-X生物反应器和对照/标准Nano运行中,以p24 ELISA分析的病毒颗粒滴度以及以基于qPCR的方法分析计算的感染性滴度均在相同的范围内(图4a-d)。在独立的分析中分析的感染性滴度不能可靠地相互比较,但是,如滴度检测同时进行,则可以进行比较。对照Nano和scale-X生物反应器运行3和4同时进行滴度检测,在这些运行中,scale-X生物反应器中的生产的TU几乎是iCELLis Nano运行的两倍多。由于scale-X生物反应器中的固定床尺寸相比iCELLis Nano小,所有每cm2的TU差异更大(图4d)。在所有的运行中,VP产量彼此接近(图4a、b),所以,基于这些运行,scale-X生物反应器运行3中的vp/TU比(vp/TU:652)好于iCELLis Nano(vp/TU:1339)生物反应器。但是,在转染过程中,按细胞核计数,iCELLis Nano生物反应器中的细胞密度约为目标的两倍。由于接种的细胞量与标准运行相同,所以可能的解释是固定床中细胞的不均匀分布,其可能降低了转染效率,进而影响产量。如scale-X生物反应器运行4当中所见,至少接种9,000 cells/cm2更高的细胞密度时,不会提高产量,7,000 cells/cm2似乎是scale-X生物反应器中的最佳接种密度。由于所有scale-X生物反应器运行中的产量与iCELLis Nano(对照和标准运行)相比,至少相似或甚至更高,所以iCELLis Nano生物反应器中使用的参数可相对简单地转移到scale-X生物反应器,而不需要针对另一种固定床进行参数优化。但是,优化后可能可进一步提高滴度。
我们之前注意到,相比低压缩的固定床,在高压缩固定床进行生产时,每cm2的慢病毒载体产量要低。在2.67m2低压缩固定床的iCELLis Nano生物反应器生产的病毒载体量与4m2高压缩固定床中的产量相同。此外,使用低压缩固定床时,培养基消耗更低,且更容易预测。所以,使用当前的iCELLis 500,理论上可达到1-2x10^12TU(使用qPCR方法,在HeLa细胞中进行滴度检测)或1-3x10^15VP(病毒颗粒)的总产量。目前,最大的低压缩iCELLis固定床尺寸为333m2。对于scale-X生物反应器,其只提供一种压缩。根据scale-X生物反应器生产商的信息,其可提供的最大固定床尺寸至少为600m2。所以,如果使用scale-X生物反应器系统,进行直接规模放大,iCELLis生物反应器中生产的病毒载体量至少可以翻倍,甚至翻三倍。但是,我们发现,尽管iCELLis生物反应器系统应该可以直接规模放大,但是出于未知的原因,当慢病毒载体生产从iCELLis Nano规模放大到iCELLis 500规模(使用100或333m2)时,相比小规模,每m2生产的病毒载体更多,而在大规模中,每m2消耗的培养基更少。所以,如果大规模中的产量提升与生物反应器固定床的组成无关,而与其它大规模工艺参数相关,如无抗生素生产,而相同的情况也发生在大规模scale-X生物反应器中,则scale-X nitro 生物反应器中可能可达到超于>1x10^13 TU(在我们的HeLa细胞中进行滴度检测)或超于 >1x10^16vp。
由于iCELLis和scale-X生物反应器均旨在贴壁使用,所有其可放大性确实有限。使用悬浮生物反应器时,可放大性限制较少,例如,使用2,000L悬浮生物反应器可极大地提高产量。目前,很多慢病毒载体批次,甚至是用于临床试验时,仍使用细胞工厂、3L搅拌罐或仅达50L的波浪式生物反应器或搅拌罐进行生产。但是,仅有极少数的病毒载体生产商报导了更大的悬浮生物反应器的使用。在贴壁生物反应器中,如iCELLis和scale-X生物反应器系统,可通过灌流,简单地提供新鲜的培养,并去除用过的培养基。由于慢病毒载体生产后进入培养基,灌流可以简单地收集病毒载体,并实现连续的下游工艺处理。尽管悬浮生物反应器有灌流选项,悬浮中的灌流仍处于其早期研发阶段,且用于慢病毒载体生产的合适灌流设备仍需要在临床/商品化规模中进行优化或证实。此外,悬浮生物反应器中的泡沫形成对于病毒载体生产是个不小的问题。而且,在无血清培养基中生长的细胞或甚至是适应悬浮培养的细胞,仍可在固定床生物反应器中生长,因为细胞不管怎样都会被截留在固定床的膜结构中。所以,简单且温和的灌流以及不需要额外设备的优势,也可使用固定床生物反应器在无血清条件下以及悬浮驯化细胞中进行探索。
使用我们目前的参数,当规模放大至scale-X nitro生物反应器(600m2)时,根据灌流速率,理论上可生产400 至 600L的慢病毒载体,且病毒产量超于 >10^6 TU/mL(使用我们的HeLa细胞系进行滴度检测)和超于 >10^9 vp/mL。这与使用补料分批的200L 搅拌罐生物反应器相当,其可达到0.5-5x10^7TU/mL感染性滴度。但是,由于没有慢病毒载体参考标准,实验室和生产站点间的感染性滴度不能进行完全的比较。此外,通常情况下,贴壁细胞中的慢病毒载体产率高于悬浮生产。这可能是由于不同的细胞培养基,因为特定的培养基相比其它培养基,可更好地支持转染,获得更高的产量。也可能部分是由于FBS的存在,其仍常用于贴壁细胞生产(在我们的整体方案中,直到转染后24h前使用)。此外,不是所有用于生产慢病毒的载体都可在悬浮培养中良好生长。大体积的慢病毒载体收获液可能难以进行下游处理。每个慢病毒载体生产商都应该考虑下需要多大体积的载体以及如何简单且快速地对易碎的慢病毒进行下游处理。即使下游工艺处理之后的收率仅为10%,以scale-X nitro(600m2)生物反应器生长的病毒载体的量,根据目的应用,已经可以达到数百至数千的剂量。但是,对于其它病毒载体的生产,例如AAV,还是需要更大的生物反应器,因为每个患者需要的病毒载体的数量通常高于慢病毒载体。

图4. scale-X hydro生物反应器和iCELLis Nano生物反应器运行中的慢病毒载体产量。(a、b)scale-X生物反应器和iCELLis Nano生物反应器运行中,分别生产的总慢病毒颗粒(vp)和vp/cm2。(c、d)scale-X生物反应器和iCELLis Nano生物反应器运行中,分别生产的总TU和TU/cm2。对照Nano = Nano 运行,与scale-X生物反应器运行一同进行。标准Nano = 5个标准Nano运行的平均值。scale-X 1-4=scale-X生物反应器运行1-4。平均值±SEM。TU,转导单位;VP,载体颗粒。
在iCELLis Nano和scale-X生物反应器中进行腺病毒载体生产
除了慢病毒载体之外(图4),我们也比较了在iCELLis生物反应器和scale-X生物反应器中进行的腺病毒载体的生产。使用HPLC分析scale-X hydro系统和iCELLis Nano生物反应器生产的AdGFP的滴度。澄清后,scale-X生物反应器运行获得的滴度为每毫升1.11x10^11病毒颗粒,iCELLis Nano运行为每毫升8.53x10^10颗粒。结果说明,scale-X生物反应器也可用于腺病毒载体的生产,且获得与iCELLis系统相当的高产量。
结论
Univercells的scale-X固定床生物反应器证实可高效用于病毒载体生产。通过细胞核计数、葡萄糖消耗和乳酸生产,监测细胞生长。补液策略基于灌流。在scale-X生物反应器中,细胞生长良好,且在整个螺旋缠绕管式固定床中,细胞分布相对均匀。慢病毒载体可在scale-X hydro系统中高效生产,与iCELLis Nano相比,scale-X生物反应器中生产的慢病毒载体产量相似甚至更高(总量为2.4x10^10 TU,即9.8 x 10^5 TU/cm2)。在对照的iCELLisNano中,获得的产量为1.3x10^10TU(4.7x10^5TU/cm2),而在标准的iCELLis Nano中,为1.7x10^10±SD 8.7x10^9TU(=6.4x10^10±SD 3.4x10^5TU/cm2)。此外,腺病毒载体产量在两种生物反应器中相似,iCELLis Nano为8.53x10^10 vp/mL,scale-X hydro为1.11x10^11vp/mL。所以,可见,iCELLis生物反应器中用于病毒载体生产的参数可直接转移到scale-X生物反应器上,反之亦然。
原文翻译:H.M.Leinonen, S.Lepola, E.M.Lipponen, et al., Benchmarking of Scale-X Bioreactor System in Lentiviral and Adenoviral Vector Production. Human Gene Therapy, 2020, 31(5&6) : 376 – 384.